Page 78 - COMPENDIUM VOL-2
P. 78

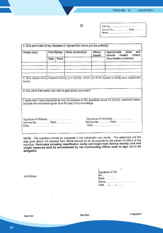
VOLUME – II           CHAPTER 1
































































































        66
   73   74   75   76   77   78   79   80   81   82   83